CCK Modulation
CCK 為
Complementary Code Keying (互補碼),CCK Modulation 即為Complementary Code Keying Modulation(互補碼調變),是M-ary 正交調變(M-ary Orthogonal
Keying,MOK)的一種形式,被用於進行數據調製,在無線網路 IEEE 802.11 b 5.5Mbps及11Mbps的傳輸速率時,使用該技術調變。
一、無線區域網路與調變
1985 年美國聯邦通訊委員會 (Federal
Communications Commission,FCC)開放

圖 1-1 ISM(Industrial,
Scientific and Medical)頻帶
IEEE 802.11
1990 年美國電子電機工程師學會(IEEE)有鑑於無線網路應用的需求,制訂了傳輸速度為2Mbps 的無線區域傳輸技術規格,稱為IEEE
802.11。依照IEEE 組織制定的標準,802.11
採用抗干擾很強的直接序列展頻(Direct Sequence Spread Spectrum,DSSS)作為調變的方式,在DSSS 中使用長度為11個切片(chip)的巴克序列(Barker sequence):{+1,-1,+1,+1,-1,+1,+1,+1,-1,-1,-1}來展頻。在傳送資料時,根據要傳送的位元來決定展頻碼的極性。而解調變,根據收到信號和展頻碼(Spread Code)的關聯結果將資料解調還原信號,其資料傳輸速度最大只能達到2 Mbps。
IEEE 802.11b
由於高速傳輸的需求IEEE 802.11 標準委員會修訂802.11標準,將傳輸速度提高,並訂為IEEE 802.11b。IEEE 802.11b工作在 ISM
表1-1 IEEE 802.11b資料率特性
|
傳輸速率 (Data Rate) |
展頻碼長度 (Code Length) |
調變方式 (Modulation) |
符元率 (Symbol Rate) |
符元內之位元數 (Bits/ Symbol) |
|
1Mbps |
11(Barker sequence) |
直接序列展頻/差分二相位移鍵調變 (DSSS/DBPSF) |
1Mbps |
1 |
|
2 Mbps |
11(Barker sequence) |
直接序列展頻/差分四相位移鍵調變 (DSSS/DQPSF) |
1Mbps |
2 |
|
5.5 Mbps |
8(CCK) |
互補碼調變/差分四相位移鍵調變 (CCK/DQPSF) |
1.375Mbps |
4 |
|
11 Mbps |
8(CCK) |
互補碼調變/差分四相位移鍵調變 (CCK/DQPSF) |
1.375Mbps |
8 |
在IEEE 802.11b,明確制定了實體層(Physical
Layer)的規格,讓802.11b與802.11標準中1、
如圖(1-2)所示。

圖 1-2 IEEE802.11與802.11b
調變模式
二、互補碼調變 (Complementary Code Keying Modulation) 技術
CCK 是使用複合符號結構編碼的M-ary 正交調變(M-ary Orthogonal Keying,MOK)的一種變化。藉著802.11標準中1、2Mbps直接串列展頻(direct sequence spread spectrum , DSSS)通道架構,CCK就能在2.4 GHz ISM 頻道作多通道的運作。
展頻採用了相同的切割率(chipping rate)和頻譜形狀,就像802.11巴克碼(Barker code)的展頻功能,可允許在2.4 ~ 2.483 GHz ISM 頻道有三個不相互衝突的通道。藉由對所有傳輸效率使用相同的引導程序和標頭,這項結構就可相互溝通,如圖(2-1)所示。

圖 2-1 包含引導程序和標頭之典型訊框
互補碼最早源於M.J.E. Golay 應用在紅外線多切口光譜計(Multislit Spectrometry)的構想上,然而其特性對雷達及通訊的應用而言,卻成為一種極佳的編碼方式。IEEE 802.11b 所採用之互補碼(CCK)為Harris 和Lucent 發展出來的調變方法,若具有K個碼的集合能滿足下列函數,即可被認為具互補特性的。

CCK 調變使用選自64 個複合向量(QPSK)的其中一個,因此,在每8個展開碼符號(spreading code symbol)以6位元調變(64分之1)。另外2個位元是藉由QPSK 調變到整個碼符號(code_symbol)時所送出,如此每個符號(symbol)便受到8位元的調變。
CCK碼字公式:

=![]()
CCK 碼字由於每個相位的值有四種可能(分別是:0、π/2、π、3π/2),所以總共可以產生
=256 個CCK 碼,但互補碼字碼所存在的空間集合卻高達
=65536。表(2-1)為每個相位在產生公式中出現的位置,由表中明顯發現,φ1出現在每一個chip 上,φ2 出現在所有奇數chip 上,φ3 出現在奇數組chip 上,而φ4 則出現在以4個chip 為一組的奇數組上,實際上就是一個Walsh/Hadamard 函數組合,互補碼調變,換句話說,就是一個使用複數Walsh/Hadamard 之形式的調變方式,M組不同的信號碼字中有一組被選為傳輸用,用於CCK 的展開函數(spread function)是從資料字(data
word)組成之M組幾乎正交向量中所選出來的。
表 2

11 Mbps 及5.5 Mbps 調變技術
在資料串

圖 2
在
=cosθ + jsinθ,若
為1,則輸出I 與Q 為0;若
為j,則輸出I 為0,Q 為1:若
為-1,則輸出I 為1,Q 為0:若
為-j,則輸出I 與Q 皆為1,如表(2-4)所示。最後藉由前段DQPSK 調變技術調變到整個符號碼內送出,因此每個符元調變後就成為8 個展頻的字組碼,如圖(2-3)
表 2-2 DQPSK編碼

表 2-3 QPSK編碼

表 2

表 2-3 QPSK編碼

圖 2-3
圖 2-4
當通道環境較惡劣時,
5.5Mbps 每個符號僅攜帶4個位元{ d0 d1 d2 d3 },將4位元分成兩段,前段2位元{ d0 d1 }使用DQPSK 調變被編碼成脈波角度φ1 (參考表(2-2) DQPSK 編碼表),脈波角度φ1 的改變會參考前一傳送脈波角度的值,依據符號碼的奇數與偶數來選擇不同脈波角度;另後段2位元{ d2, d3 }則被編碼形成φ2
,φ3 ,φ4 四個角度(參考表(2-5)),其產生4組CCK 碼的方式是將公式的φ2、φ3與φ4做
的改變。
表 2-5 5.5 Mbps CCK編碼表

之後再加上覆蓋碼(cover code)後送出,由於這4 個碼字完全正交因此有較好的效能。如圖(2-5、2-6)

圖2-5
圖 2-6 5.5 Mbps CCK互補碼調變架構
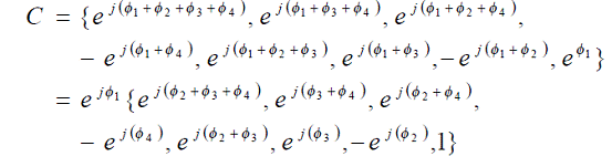
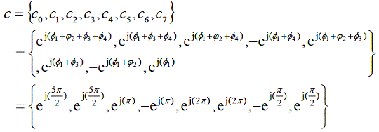
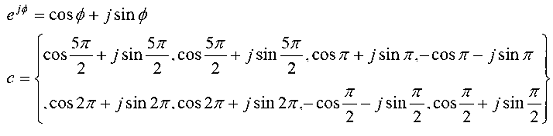
CCK 字組碼範例
以

根據字碼公式可得

根據尤拉(Euler)公式得知:

所以可得一組字組碼
![]()
三、參考文獻
【1】郝敏忠、楊鎮華、蔡忠政,「IEEE 802.11b 鄰近通道干擾之分析與研究」,國立高雄第一科技大學電腦與通訊工程系碩士論文,2004.6
【2】余兆棠、唐經洲、朱朝成「無線區域網路之CCK調變/解調器與等化器設計與實現」,南台科技大學電子工程系碩士論文,2004.8
【3】楊正任、陳逸樺「以基頻預先補償實現